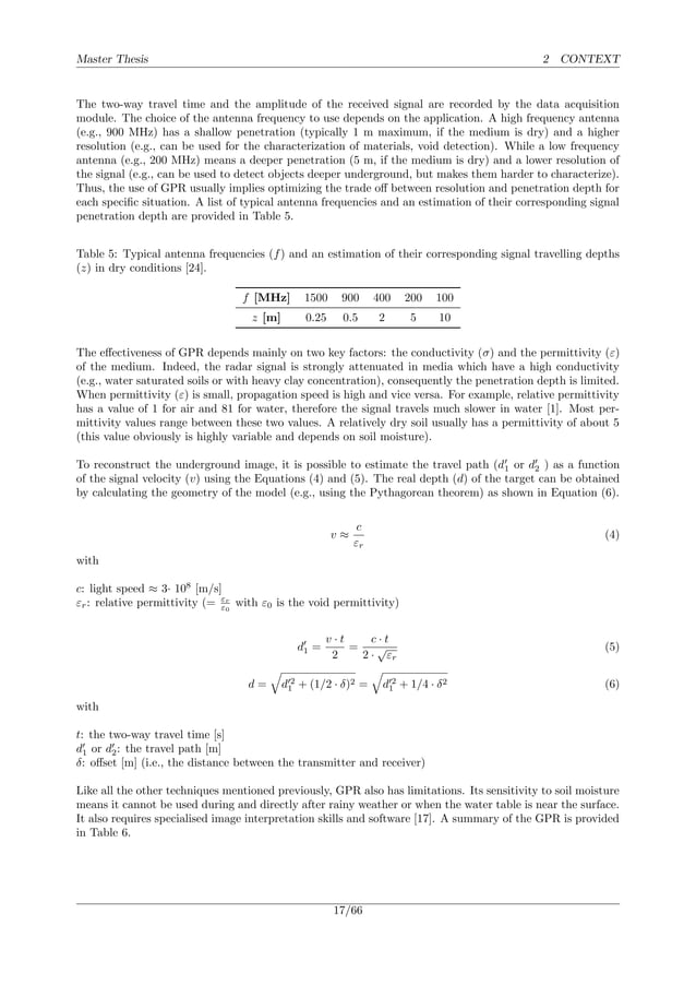
Water Leak Detection Ground Penetrating Radar . ground penetrating radar (gpr) has developed lately as an effective leak detection technique in water distribution. water leak detection using ground penetrating radar. in this paper, a new leakage diagnostic method for water supply pipeline based on ground penetrating radar (gpr), image correlation.
from www.screeningeagle.com
ground penetrating radar (gpr) has developed lately as an effective leak detection technique in water distribution. water leak detection using ground penetrating radar. in this paper, a new leakage diagnostic method for water supply pipeline based on ground penetrating radar (gpr), image correlation.
Proceq GPR Live Ground Radar
Water Leak Detection Ground Penetrating Radar ground penetrating radar (gpr) has developed lately as an effective leak detection technique in water distribution. water leak detection using ground penetrating radar. in this paper, a new leakage diagnostic method for water supply pipeline based on ground penetrating radar (gpr), image correlation. ground penetrating radar (gpr) has developed lately as an effective leak detection technique in water distribution.
From leaktech.com.au
Ground Radar Water Leak Detection Brisbane and Sunshine Water Leak Detection Ground Penetrating Radar in this paper, a new leakage diagnostic method for water supply pipeline based on ground penetrating radar (gpr), image correlation. water leak detection using ground penetrating radar. ground penetrating radar (gpr) has developed lately as an effective leak detection technique in water distribution. Water Leak Detection Ground Penetrating Radar.
From www.twi-global.com
What is Ground Radar? (A Complete Guide) TWI Water Leak Detection Ground Penetrating Radar ground penetrating radar (gpr) has developed lately as an effective leak detection technique in water distribution. water leak detection using ground penetrating radar. in this paper, a new leakage diagnostic method for water supply pipeline based on ground penetrating radar (gpr), image correlation. Water Leak Detection Ground Penetrating Radar.
From www.mdpi.com
Geosciences Free FullText Exploiting Radar Water Leak Detection Ground Penetrating Radar ground penetrating radar (gpr) has developed lately as an effective leak detection technique in water distribution. in this paper, a new leakage diagnostic method for water supply pipeline based on ground penetrating radar (gpr), image correlation. water leak detection using ground penetrating radar. Water Leak Detection Ground Penetrating Radar.
From www.semanticscholar.org
Figure 5 from Water leak detection using ground radar Water Leak Detection Ground Penetrating Radar water leak detection using ground penetrating radar. in this paper, a new leakage diagnostic method for water supply pipeline based on ground penetrating radar (gpr), image correlation. ground penetrating radar (gpr) has developed lately as an effective leak detection technique in water distribution. Water Leak Detection Ground Penetrating Radar.
From www.applus.com
GPR Ground Radar Services Applus+ in the UAE Water Leak Detection Ground Penetrating Radar in this paper, a new leakage diagnostic method for water supply pipeline based on ground penetrating radar (gpr), image correlation. ground penetrating radar (gpr) has developed lately as an effective leak detection technique in water distribution. water leak detection using ground penetrating radar. Water Leak Detection Ground Penetrating Radar.
From pdfslide.net
(PDF) Ground Radar for the Detection of Water Leakage in Water Leak Detection Ground Penetrating Radar water leak detection using ground penetrating radar. in this paper, a new leakage diagnostic method for water supply pipeline based on ground penetrating radar (gpr), image correlation. ground penetrating radar (gpr) has developed lately as an effective leak detection technique in water distribution. Water Leak Detection Ground Penetrating Radar.
From www.slideshare.net
Leakage detection in water pipe networks using Ground Rad… Water Leak Detection Ground Penetrating Radar in this paper, a new leakage diagnostic method for water supply pipeline based on ground penetrating radar (gpr), image correlation. ground penetrating radar (gpr) has developed lately as an effective leak detection technique in water distribution. water leak detection using ground penetrating radar. Water Leak Detection Ground Penetrating Radar.
From www.kbcontractors.co.nz
Ground Radar Services KB Contractors GPR Water Leak Detection Ground Penetrating Radar water leak detection using ground penetrating radar. ground penetrating radar (gpr) has developed lately as an effective leak detection technique in water distribution. in this paper, a new leakage diagnostic method for water supply pipeline based on ground penetrating radar (gpr), image correlation. Water Leak Detection Ground Penetrating Radar.
From www.rtl-sdr.com
ground radar Water Leak Detection Ground Penetrating Radar water leak detection using ground penetrating radar. ground penetrating radar (gpr) has developed lately as an effective leak detection technique in water distribution. in this paper, a new leakage diagnostic method for water supply pipeline based on ground penetrating radar (gpr), image correlation. Water Leak Detection Ground Penetrating Radar.
From www.u-survey.com
GPR (Ground Radar) A Simple Explanation Water Leak Detection Ground Penetrating Radar water leak detection using ground penetrating radar. in this paper, a new leakage diagnostic method for water supply pipeline based on ground penetrating radar (gpr), image correlation. ground penetrating radar (gpr) has developed lately as an effective leak detection technique in water distribution. Water Leak Detection Ground Penetrating Radar.
From www.yellowpages.com.au
AJ Water & Leak Detection Underground Radar & Locators Water Leak Detection Ground Penetrating Radar in this paper, a new leakage diagnostic method for water supply pipeline based on ground penetrating radar (gpr), image correlation. water leak detection using ground penetrating radar. ground penetrating radar (gpr) has developed lately as an effective leak detection technique in water distribution. Water Leak Detection Ground Penetrating Radar.
From www.slideshare.net
Leakage detection in water pipe networks using Ground Radar Water Leak Detection Ground Penetrating Radar ground penetrating radar (gpr) has developed lately as an effective leak detection technique in water distribution. in this paper, a new leakage diagnostic method for water supply pipeline based on ground penetrating radar (gpr), image correlation. water leak detection using ground penetrating radar. Water Leak Detection Ground Penetrating Radar.
From www.slideshare.net
Leakage detection in water pipe networks using Ground Radar Water Leak Detection Ground Penetrating Radar in this paper, a new leakage diagnostic method for water supply pipeline based on ground penetrating radar (gpr), image correlation. water leak detection using ground penetrating radar. ground penetrating radar (gpr) has developed lately as an effective leak detection technique in water distribution. Water Leak Detection Ground Penetrating Radar.
From www.sandberg.co.uk
Principles of Ground Radar Sandberg Water Leak Detection Ground Penetrating Radar water leak detection using ground penetrating radar. ground penetrating radar (gpr) has developed lately as an effective leak detection technique in water distribution. in this paper, a new leakage diagnostic method for water supply pipeline based on ground penetrating radar (gpr), image correlation. Water Leak Detection Ground Penetrating Radar.
From www.pipeandcable.com.au
How Does Water Leak Detection Work? Water Leak Detection Ground Penetrating Radar water leak detection using ground penetrating radar. in this paper, a new leakage diagnostic method for water supply pipeline based on ground penetrating radar (gpr), image correlation. ground penetrating radar (gpr) has developed lately as an effective leak detection technique in water distribution. Water Leak Detection Ground Penetrating Radar.
From www.researchgate.net
Ground Radar Principles of Operation Download Scientific Water Leak Detection Ground Penetrating Radar ground penetrating radar (gpr) has developed lately as an effective leak detection technique in water distribution. water leak detection using ground penetrating radar. in this paper, a new leakage diagnostic method for water supply pipeline based on ground penetrating radar (gpr), image correlation. Water Leak Detection Ground Penetrating Radar.
From smithsurveyingequipment.co.uk
RADIODETECTION RD1500 GROUND RADAR (GPR) SYSTEM Smith Water Leak Detection Ground Penetrating Radar water leak detection using ground penetrating radar. in this paper, a new leakage diagnostic method for water supply pipeline based on ground penetrating radar (gpr), image correlation. ground penetrating radar (gpr) has developed lately as an effective leak detection technique in water distribution. Water Leak Detection Ground Penetrating Radar.
From leakmastersusa.com
Ground Radar Leak Masters USA Water Leak Detection Ground Penetrating Radar in this paper, a new leakage diagnostic method for water supply pipeline based on ground penetrating radar (gpr), image correlation. ground penetrating radar (gpr) has developed lately as an effective leak detection technique in water distribution. water leak detection using ground penetrating radar. Water Leak Detection Ground Penetrating Radar.